肿瘤免疫治疗“神助攻”!NCG-MHC-dKO小鼠的TCE药效实战日记
在肿瘤免疫治疗领域,T细胞衔接器(T Cell Engager, TCE)双抗药物以其独特的“双靶点桥接”作用机制,正重塑实体瘤治疗格局。这类药物可同时通过靶向肿瘤抗原和T细胞表面CD3分子,将T细胞募集至肿瘤微环境,突破传统免疫疗法对肿瘤浸润淋巴细胞数量的限制。然而,临床前研究始终面临一大挑战:如何在动物模型中真实模拟人类T细胞与肿瘤细胞的相互作用?集萃药康构建的人源化NCG-MHC-dKO小鼠模型,正是破解这一难题的“金钥匙”。
传统PBMC人源化模型常面临宿主免疫排斥的干扰——当鼠源MHC分子与人源T细胞相遇,会触发异体反应性T细胞的异常激活,导致移植物抗宿主病(GvHD)提前发生,从而降低体内药效研究窗口期。为攻克这一问题,集萃药康运用CRISPR-Cas9技术敲除NCG小鼠的MHC I和MHC II分子,成功构建NCG-MHC-dKO小鼠。该模型可显著延缓GvHD反应,延长实验窗口期,同时确保人源免疫细胞正常重建,保障抗体分子评价的准确性。
此前,集萃药康已详细解读过NCG-MHC-dKO模型的特性与优势(点击下方链接阅读全文)。本文将重点分享该模型在TCE药效评价中的典型案例。
《出现GvHD怎么办?小鼠病恹恹?NCG-MHC-dKO帮您排忧解难》
案例一:Tarlatamab双抗在小细胞肺癌模型中的药效学评价
集萃药康利用NCG-MHC-dKO小鼠模型,通过皮下接种SHP-77细胞并同时腹腔注射人源PBMC,对CD3×DLL3双抗Tarlatamab的药效学进行评价。实验结果显示,相比对照组,在给药后7天左右给药组就实现100%小鼠肿瘤完全消退。这表明Tarlatamab在huPBMC-NCG-MHC-dKO + SHP77模型中能够有效抑制肿瘤生长(图1)。

图1. 基于huPBMC-NCG-MHC-dKO小鼠皮下接种SHP77模型的TCE体内药效评价
案例二:Mosunetuzumab在人套细胞淋巴瘤模型中的药效学研究
集萃药康利用NCG-MHC-dKO小鼠模型,通过将人套细胞淋巴瘤细胞JeKo-1皮下植入小鼠体内,同步进行人源PBMC腹腔注射,对CD20/CD3双特异性抗体Mosunetuzumab的药效展开细致探究。结果显示,相比对照组,在给药后10天左右给药组就实现100%小鼠肿瘤完全消退。表明Mosunetuzumab在huPBMC-NCG-MHC-dKO + JeKo-1模型中抗肿瘤效果显著(图 2)。

图2. 基于huPBMC-NCG-MHC-dKO小鼠皮下接种JeKo-1模型的TCE体内药效评价
案例三:TCE在人原位胰腺癌模型中的药效学研究
集萃药康利用NCG-MHC-dKO小鼠模型,通过腹腔注射不同的人源PBMC,3天后皮下接种人原位胰腺腺癌细胞BxPC-3,用于TCE药效学评价。实验证实,TCE双抗在huPBMC-NCG-MHC-dKO + BxPC-3模型中可显著抑制肿瘤生长(图 3)。

图3. 基于huPBMC-NCG-MHC-dKO小鼠皮下接种 BxPC-3模型的TCE体内药效评价
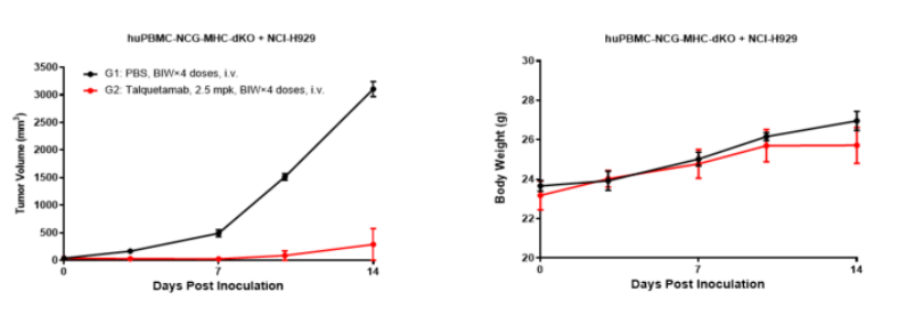
案例四:Talquetamab在人多发性骨髓瘤模型中的药效学研究
通过尾静脉将人源PBMC注射到NCG-MHC-dKO小鼠中,7天后通过皮下接种多发性骨髓瘤NCI-H929细胞,对CD3×GPRC5D双抗Talquetamab进行药效评估。结果表明,Talquetamab在huPBMC-NCG-MHC-dKO + NCI-H929模型中抗肿瘤作用显著(图 4)。

图4. 基于huPBMC-NCG-MHC-dKO小鼠皮下接种NCI-H929模型的TCE体内药效评价
人源化NCG-MHC-dKO小鼠模型优势
1. 可显著减缓GvHD的发生,延长实验窗口期,有利于各种靶向T细胞疗法的药理药效评价;
2. 集萃药康针对不同瘤种,定期在NCG-MHC-dKO模型中筛选适合药效研究的人源PBMC,极大程度上缩短药效服务周期,加速药效研究进展。
作为TCE药物开发的“全息沙盘”,人源化NCG-MHC-dKO小鼠模型为肿瘤免疫治疗策略的创新提供了坚实支撑。随着研究的深入,该模型的潜力与临床价值将进一步得到挖掘与验证。欢迎咨询合作。
