解析PD1耐药模型的奥秘,助力新药研发
靶向PD-1/PD-L1的免疫疗法因其广谱性、持久性和低毒性,自问世以来便在多种癌症治疗中取得了重要突破。然而,在许多癌症的治疗中,其有效率不足30%,许多患者仅表现出部分应答,不仅发展出耐药性,还会出现和免疫相关的不良反应,背后机制复杂且多样。集萃药康基于耐药机制开发的多种非临床anti-PD1耐药模型及评价体系,为揭示耐药机制、优化治疗方案及开发新疗法提供了重要工具。
目前常见基于anti-PD-1耐药模型的非临床评价策略,主要包括基于药物诱导的获得性耐药模型、通过基因编辑技术构建的靶向关键基因的耐药模型和原发耐药模型的评价体系。这三种试验体系基于不同的耐药机制的特点构建。集萃药康建议根据药物的作用特点和临床拟选择治疗群体,匹配合适的试验体系。
获得性PD1耐药模型:还原治疗中耐药演变过程
获得性耐药是指在肿瘤治疗过程中,肿瘤细胞通过一系列遗传和非遗传机制逐渐发展出对特定药物的耐药性,通常涉及肿瘤细胞在药物压力下发生的基因突变、表观遗传改变、信号通路重编程等过程。这类模型一定程度上模拟了患者治疗过程中逐渐产生耐药性的过程。
集萃药康通过对PD-1人源化荷瘤鼠不断给予Keytruda诱导,成功建立了CT26-PD1-R耐药模型,该模型对Keytruda失去响应(图1)。TILs分析显示,与CT26-WT相比,CD335+(NK细胞)和MHCII+(抗原递呈细胞)群体在耐药细胞中显著减少(图2),提示CT26-PD1-R模型肿瘤微环境免疫功能的整体抑制。进一步对CT26-PD1-R和CT26-WT细胞进行了生物信息学分析,以期深入解析耐药机制。结果表明,耐药细胞中趋化因子(CCL2、CCL5和CCL7)显著上调(图3),提示耐药细胞可能通过诱导免疫抑制性微环境促进PD-1疗法的耐药。

图1 CT26-PD1-R耐药模型对Keytruda不响应

图2 CT26-PD1-R耐药模型NK细胞浸润降低且MHCII分子表达降低

图3 CT26-WT和CT26-PD1-R细胞差异基因表达分析
基因编辑PD1耐药模型:靶向关键基因建立耐药模型
在PD-1免疫治疗耐药研究中,B2M突变导致的MHCI功能缺失以及STK11突变已被证实是参与临床患者耐药的关键因素。集萃药康通过基因编辑技术,成功构建了B2M(KO)和STK11(KO)的模型。由于这两个模型耐药机制清晰,适用于开发对应耐药机制的新药评价。
1. B2M敲除模型:
B2M是MHCI类分子的重要组成部分,其缺失导致肿瘤细胞丧失抗原递呈能力,T细胞无法识别并杀伤肿瘤,最终引发免疫逃逸。通过基因编辑技术敲除CT26细胞中的B2M基因,构建了CT26-B2M(KO)模型。在体内研究中,CT26-B2M(KO)细胞对Keytruda表现出显著耐药(图4)。TILs分析显示,B2M敲除后,虽然T细胞浸润水平未明显变化,但MHCI分子在肿瘤中完全缺失(图5),这直接阻碍了抗原递呈过程,验证了抗原递呈缺失是引发免疫逃逸的重要机制。

图4 B2M敲除的CT26耐药模型对Keytruda不响应

图5 B2M敲除后CT26耐药模型不表达MHCI分子
2.STK11敲除模型:
STK11是重要的肿瘤抑制基因,其缺失与肿瘤代谢异常和免疫抑制密切相关。通过基因编辑技术,我们成功敲除了CT26细胞中的STK11基因,构建了CT26-STK11(KO)模型。在体内实验中,该模型对Keytruda完全无响应(图6)。
TILs结果显示,STK11敲除后,肿瘤中CD8+细胞毒性T淋巴细胞浸润降低,同时gMDSC显著积累(图7),且肿瘤细胞上PD-L1表达降低。这表明STK11缺失模型中,肿瘤抗原表达缺失和免疫抑制信号增强共同作用,促成了耐药的发生。

图6 STK11敲除的CT26耐药模型对Keytruda不响应

图7 STK11敲除后的CT26耐药模型CD8+T细胞浸润降低且PDL1表达降低
原发PD1耐药模型:识别治疗初期的无应答群体
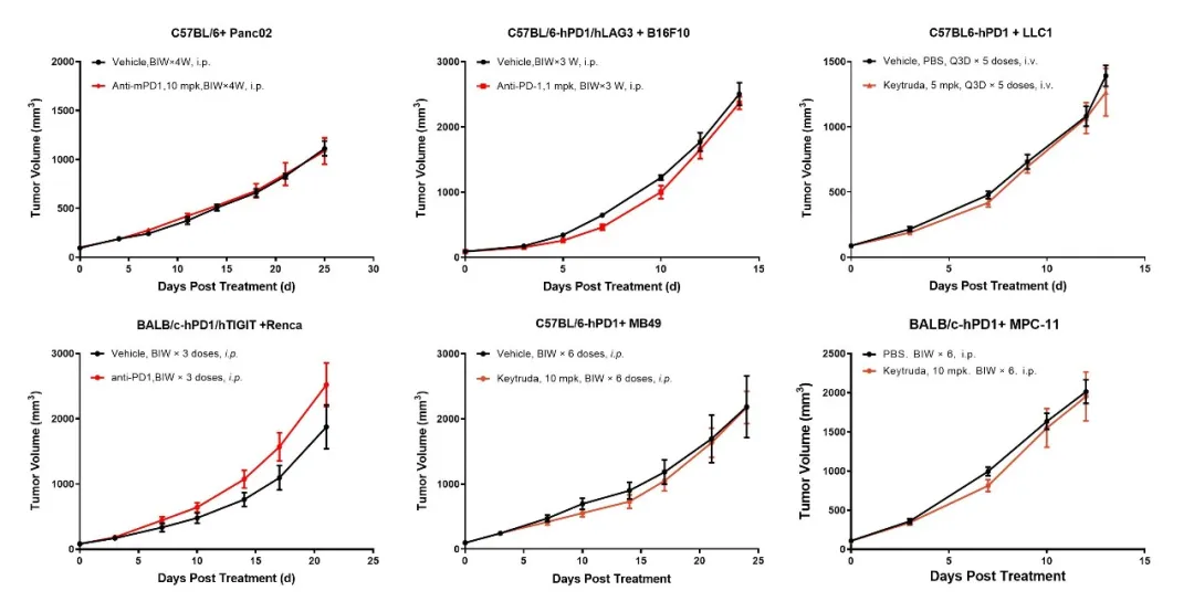
原发耐药是指肿瘤在治疗初期即表现为对药物的低或无应答。其发生通常与治疗前的肿瘤特定遗传或基因表达模式有关。通过对原发耐药样本的解析,有助于开发新一代药物。集萃药康现有的PD-1原发耐药资源包括Panc02、B16F10、LLC1、Renca、MB49、MPC11和mPAKPC等多种肿瘤细胞资源(图8-9)。其中自主开发的mPAKPC细胞是来源于KPC小鼠(Pdx1-cre/LSL-Kras G12D/P53 (R172H))自发胰腺肿瘤,mPAKPC在体内表现为对PD-1治疗不敏感(图9)。

图8 Panc02、B16F10、LLC1、Renca、MB49和MPC11细胞对Keytruda治疗不响应

图9 胰腺癌mPAKPC 细胞对Keytruda治疗不响应
综上,集萃药康建议在anti-PD1耐药后新药开发的非临床评价中,可以根据药物作用机制和特点选择上述两种或以上的模型用于药理药效学探索及IND申报。集萃药康基于对anti-PD1耐药模型和其非临床评价的深刻理解,结合药物MOA,搭建了相关的非临床评价平台,适用于不同类型药物的非临床评价场景。
集萃药康优势
集萃药康凭借多样化的PD1耐药模型体系,包括获得性、基因编辑和原发耐药模型,与临床耐药机制高度一致,能够精准解析肿瘤免疫逃逸、代谢重塑及微环境变化等核心机制。通过完善的非临床评价平台和多维度数据支持(如TILs分析、免疫微环境评估、基因组及转录组研究),为anti-PD-1疗法的优化及耐药患者新药开发提供全方位解决方案,全面助力新药研发的每一个关键环节。
